Renten- und Zinszahlungen

Sergej Maurer
Die Kombination aus Renten– und Zinszahlungen trifft auf, wenn ein Startkapital zinseszinslich angelegt / aufgenommen wird und jede Periode eine Rente / Rate hinzugefügt oder beglichen wird. 

Die Definitionen der Symbole finden Sie unter Symbolbezeichnungen>>.

Vorschüssige Zahlungsweise

Knvor = K0 × qn ± r × q × qn – 1
q –1

Nachschüssige Zahlungsweise

Knnach = K0 × qn ± r × qn – 1
q –1

Beispiel

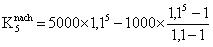
Sie nehmen ein Kredit von 5.000 € mit 10% p.a. für 5 Jahre auf. Dabei müssen Sie am Ende jedes Jahres eine Rate von 1.000 € tätigen und die restliche Summe zum Schluss bezahlen.

Gesucht:
K5

Lösung:
K5nach = 5.000 × 1,15 – 1.000 × 1,15 – 1
1,1 –1

K5 = 1.947,45

Zur Formelübersicht: Finanzmathematik >>

 



letzte Änderung Sergej Maurer am 16.08.2024

Excel-Tools

Bleiben Sie auf dem Laufenden mit unserem Newsletter

Tragen Sie sich für den kostenfreien und unverbindlichen Newsletter von Controlling-Portal.de ein und erhalten Sie jeden Monat aktuelle Neuigkeiten für Controller. Wir informieren Sie über neue Fachartikel, über wichtige News, aktuelle Stellenangebote, interessante Tagungen und Seminare. Wir empfehlen Ihnen spannende Bücher und geben Ihnen nützliche Excel-Tipps. Verpassen Sie nie mehr wichtige Diskussionen im Forum und stöbern Sie in Software-Angeboten, die Ihnen den Arbeitsalltag erleichtern. Beispiel-Newsletter >>

Jetzt Newsletter gratis erhalten

Premium-Stellenanzeigen



Eigenen Fachbeitrag veröffentlichen? 

Sie sind Autor einer Fachpublikation oder Entwickler einer Excel-Vorlage? Gern können Sie sich an der Gestaltung der Inhalte unserer Fachportale beteiligen! Wir bieten die Möglichkeit Ihre Fachpublikation (Fachbeitrag, eBook, Diplomarbeit, Checkliste, Studie, Berichtsvorlage ...) bzw. Excel-Vorlage auf unseren Fachportalen zu veröffentlichen bzw. ggf. auch zu vermarkten. Mehr Infos >>

Kommentar zum Fachbeitrag abgeben

13.02.2012 15:29:10 - Gast

Sehr geehrte Damen und Herren,
lang ist meine Schulzeit her, aber was ich nicht mehr im Kopf habe, ist die Formel zur Berechnung einer thesaurierenden feststehenden Verzinsung mit jährlich einfließender Kapitalerhöhung in gleichbleibender Größenordnung.
Also zum Beispiel:
Kapitalanlage in Höhe von 50.000,00 €
feststehende Verzinsung: 4%
jährliche Kapitalzubuchung von 5000,00 €
Zinsen werden thesauriert.
Laufzeit: 20 Jahre
Können Sie mir weiterhelfen?
MfG
[ Zitieren | Name ]

13.02.2012 15:59:13 - Redaktion

Sehr geehrter Nutzer,

wir empfehlen Ihnen, Ihr Anliegen im Controlling-Portal.de Forum zu posten. Dort wird Ihnen von erfahrenen Usern sicherlich schnell geholfen.

Mit freundlichen Grüßen

Die Redaktion vom Controlling-Portal.de
[ Zitieren | Name ]

Nur registrierte Benutzer können Kommentare posten!

Controlling- Newsletter

Neben aktuellen Fach- und Arbeitsmarkt-Trends für Controller und neu eingegangene Fachbeiträge, informieren wir Sie über interessante Veranstaltungen und stellen Ihnen einzelne Controlling-Tools im Detail vor.
Werden Sie jetzt monatlich über
neue Fachbeiträge, Jobs und Tools informiert! 
Zur Newsletter-Anmeldung >>

Über 3.000 Artikel und Vorlagen

Community_Home.jpg






Werden Sie Mitglied in einer großen Controller-Community (über 12.000 Mitglieder!) und erhalten Zugriff auf viele Inhalte und diskutieren ihre Fragen im Controlling-Forum.

Sehen Sie hier die neuesten Fachbeiträge >>
Anzeige
Premiummitgliedschaft Studenten

Eine neue Stelle?

Mit dem Studium fertig, Umzug in eine andere Region, Aufstiegschancen nutzen oder einfach nur ein Tapetenwechsel? Dann finden Sie hier viele aktuell offene Stellen im Controlling.
Zu den Stellenanzeigen >>

Zukunft_Aussicht_Menschen_Fernglas_pm_prometeus_315.jpg

Sie suchen einen Controller? Mit einer Stellenanzeige auf Controlling-Portal.de erreichen Sie viele Fachkräfte. weitere Informationen >>

KLR-Begriffe von A bis Z

A-C   D-F   G-I   J-L   M-R   S-U   V-Z 

Testen Sie ihr Wissen mit unseren Aufgaben und Lösungen im Bereich Kostenrechnung >>

Sie haben eine Frage?

Ratlos_Verwirrt_pm_RainerPlendl_400x275.jpg

Nutzen Sie kostenfrei das Forum für Controller und und diskutieren ihre Fragen zu Controlling-Themen.

Riesen- Ressource

Auf Controlling-Portal.de sind bereits über 1.800 Fachbeiträge veröffentlicht und ständig kommen neue dazu.

Zu den neuesten Fachbeiträgen >>
Zu den derzeit meistgelesenen Fachbeiträgen >>
Zu den Premium-Beiträgen >>

Sie möchten auch einen Fachbeitrag hier veröffentlichen? Dann erhalten Sie hier weitere Informationen >>

Amüsante Glosse

Zweifel_Denken_Frau_Brille_pm_luckyraccoon_400x300.jpg

Erfolgreiche Unternehmer einer Kleinstadt treffen sich regelmäßig im örtlichen Golfclub und diskutieren mit Ihrer Lieblingskellnerin und BWL-Studentin Pauline betriebswirtschaftliche Probleme. Amüsant und mit aktuellem Bezug geschrieben von Prof. Peter Hoberg.

Zur Serie "Neulich im Golfclub" >>

Sie möchten sich weiterbilden?

mann-treppe-up-karriere_pm_pressmaster_B10716345_400x300.jpg

In unserer Seminar-Rubrik haben wir einige aktuelle Seminar- und Kurs-Angebote für Controller, u.a. auch Kurse zum Controller / IHK zusammengestellt.

Premium-Mitgliedschaft

Erhalten Sie Zugriff auf Premium-Inhalte von Controlling-Portal.de und Rechnungswesen-Portal.de. Aktuelle und ständig erweiterte Fachbeiträge. Verschaffen Sie sich hier einen Überblick über unsere Premium-Inhalte.

Mitgliedschaft für nur 39,- EUR einmalig bei unbegrenzter Laufzeit! Kein Abonnement! Weitere Informationen >>
 

Wie zufrieden sind Sie mit uns?

Über Ihre Meinung und auch ihre Anregungen für Veränderungen oder Erweiterungen würden wir uns sehr freuen. Nur 10 kurze Fragen, die schnell beantwortet sind. Vielen Dank im Voraus für Ihre Mithilfe! zur Umfrage >>
 

Jobletter und Newsletter!

Mit dem monatlich erscheinenden Newsletter werden Sie über neue Fachbeiträge, News und Excel-Tools informiert! zur Anmeldung >>

Der 14-tägige Jobletter informiert Sie automatisch über neue Stellenangebote und Arbeitsmarkt-News! zur Anmeldung >>
 

Fachbeitrag veröffentlichen?

Sie sind Autor von Fachbeiträgen mit Controlling-bzw. Rechnungswesen-Thema? Gerne veröffentlichen oder vermarkten wir ihren Fachbeitrag. Eine kurze Autorenvorstellung oder Unternehmensdarstellung am Ende des Artikels ist möglich. jetzt Mitmachen >>

Talentpool - Jobwechsel einfach!

HR-Bewerbung-Digital_pm_yupiramos_B123251108_400x300.jpg

Tragen Sie sich kostenfrei im Talentpool auf Controlling-Portal.de ein und erhalten Jobangebote und Unterstützung beim Jobwechsel durch qualifizierte Personalagenturen.

Buch-Vorstellungen


Kennzahlen-Guide

Kennzahlen-Guide-klein.pngÜber 200 Kennzahlen aus Finanzen, Personal, Logistik, Produktion, Einkauf, Vertrieb, eCommerce und IT.
Jede Kennzahl wird in diesem Buch ausführlich erläutert. Neben der Formel wird eine Beispielrechnung aufgeführt. Für viele branchenneutrale Kennzahlen stehen Zielwerte bzw. Orientierungshilfen für eine Bewertung zur Verfügung. Für die genannten Bereiche hat die Redaktion von Controlling-Portal.de jeweils spezialisierte Experten als Autoren gewonnen, die auf dem jeweiligen Gebiet über umfangreiche Praxiserfahrung verfügen. 

Preis: ab 12,90 Euro Brutto  mehr Informationen >>
 

Dashboards mit Excel

dashboards_cover.jpgWie erstelle ich ein Tacho- oder Ampel-Diagramm? Wie kann ich Abweichungen in Tabellen ansprechend visualisieren? Das wird Ihnen hier anschaulich erklärt.

Taschenbuch in Farbe für 34,90 EUR
oder E-Book für 12,90 EUR 
mehr Informationen >>

  

Reporting 1x1

reporting1x1-klein.jpgViel ist zum Berichtswesen oder Reporting schon geschrieben worden. Dennoch zeigen Umfragen, dass rund 50 Prozent der Empfänger von Berichten mit dem Reporting nicht zufrieden sind. Jörgen Erichsen erklärt in diesem Buch die Bedeutung und die Handhabung des Berichtswesens speziell für kleinere Betriebe. Mit zahlreichen Beschreibungen, Beispielen und Checklisten.

Taschenbuch in Farbe für 24,90 EUR
oder E-Book für 15,90 EUR 
mehr Informationen >>

Anzeige

Wie zufrieden sind Sie mit uns?

teamwork_pm_Dmitriy_Shironosov_400x300.jpg  
Über Ihre Meinung und auch ihre Anregungen für Veränderungen oder Erweiterungen würden wir uns sehr freuen. Nur 3 kurze Fragen, die schnell beantwortet sind. Vielen Dank im Voraus für Ihre Mithilfe! zur Umfrage >>

Controlling-Software gesucht?

controlling_Dashboard_pm_ml12nan_B9707546_400x300.jpg

Verschaffen Sie sich hier einen Überblick >>
LI-In-Bug.pngBleiben Sie auf dem Laufenden und informieren sich über neue Fachbeiträge, Excel-Tools und Jobangebote auf unserer LinkedIn-Seite >>

Stellenanzeigen

Leitung (m/w/d) Finanzbuchhaltung
Das Klinikum Freising ist ein in der historischen Universitäts­stadt Freising bei München gelegenes Kranken­haus der Grund- und Regel­ver­sorgung in kommunaler Träger­schaft sowie akademisches Lehr­kranken­haus der Technischen Universität München. In elf medizinischen Ab­teilungen mit 335 Betten ... Mehr Infos >>

Controller / Kalkulator (w/m/d) Schwerpunkt Softwarepflege Grundkalkulation
FingerHaus – mit mehr als 950 Mitarbeitenden sind wir nicht nur ein bedeutender Arbeitgeber in der Region Waldeck-Frankenberg, sondern auch einer der größten und innovativsten familien­geführten Hersteller von Holz­fertig­häusern. 17.000 begeisterte Haus­besitzer, weit mehr als 200 Jahre Erfahrun... Mehr Infos >>

Teamleitung Finanzen (m/w/d)
Das Max-Planck-Institut für Geoanthropologie (MPI‑GEA) in Jena wurde im Sommer 2022 gegründet und ist ein dynamisch wachsendes, hochgradig internationales und interdisziplinär ausgerichtetes Forschungs­institut. Es besteht aktuell aus drei Abteilungen sowie mehreren Forschungs­gruppen, ze... Mehr Infos >>

Junior Controller:in
Wir sind Teil der globalen ITW-Gruppe und arbeiten als inter­natio­nales Team täglich an zukunfts­wei­sen­den Befes­ti­gungs­lösungen für die Auto­mobil­industrie. Wir bieten das familiäre Umfeld eines mittel­ständischen Unter­nehmens mit den Vor­teilen eines globalen Konzerns: eigen­verantwort­l... Mehr Infos >>

Business Controller (m/w/d)
Mit konzernweit mehr als 8.000 Mitarbeiterinnen und Mitarbeitern erzielte die ALTANA Gruppe in 2024 einen Umsatz von über 3 Milliarden Euro. BYK, als Teil der ALTANA Gruppe, ist ein weltweit führender Anbieter von Spezialchemie. Unsere innovativen und nachhaltigen Additive verbessern unter andere... Mehr Infos >>

Sachbearbeiter:in Controlling
Nachhaltig. Digital. Regional – die Stadtwerke Lübeck Gruppe ist der führende kommunale Anbieter für alle Dienstleistungen rund um Energie, Digitalisierung, Mobilität und Infrastruktur. Mit unseren leistungsfähigen Produkten verbinden wir Lebenswelten, vernetzen Menschen und Unternehmen, fördern ... Mehr Infos >>

Konzernbuchhalter:in (m/w/d)
Als Shared Services Gesellschaft bündeln wir bei GEwerk.business unsere Expertise in HR, Finanzen, Recht, IT, Projektmanagement und Marketing, um unsere Niederlassungen operativ zu stärken und Bauprojekte effektiv voranzutreiben. Wir schaffen die Strukturen, die reibungslose Abläufe, maximale Tra... Mehr Infos >>

Accountant HGB (m/w/d)
Du suchst eine neue Herausforderung in einem dynamischen und agilen Umfeld? Du treibst Themen proaktiv voran und trägst somit zum Erfolg unserer Bank bei? Dann bist Du bei uns genau richtig. Die Airbus Bank ist eine auf Finanzierungen im Bereich Aerospace und Commercial Real Estate spezialisierte... Mehr Infos >>

Weitere Stellenanzeigen im Stellenmarkt >>

Folgen Sie uns!

panthermedia_B90564160_patronestaff_310px.jpg

Controlling-Portal auf:
Facebook >> und  Linkedin >>

Online-Seminar:
Storytelling mit Daten für Controller:innen und Datenprofis

20241008-07373_290x100.jpg
Mit diesem Online-Seminar lernst du Kernbotschaften und Handlungsempfehlungen wirksam zu vermitteln. Denn von Controller:innen und Business Analyst:innen wird heutzutage mehr verlangt als Reports und Dashboards. Sie sollen Daten in handlungsrelevante Empfehlungen übersetzen und Unternehmensleitung, sowie Fachbereiche mit ihrem datenbasierten Wissen beraten. Für diese anspruchsvolle Aufgabe braucht es eine Vielzahl an Fähigkeiten. Eine der Wichtigsten ist, datenbasierte Erkenntnisse und Ideen strukturiert, überzeugend und zielgruppengerecht zu kommunizieren.   

Erfahre mehr zum Online-Seminar >>  

JOB- Letter

 jobletter.jpg
Sie möchten über neu eingehende Stellenangebote automatisch informiert werden? Dann können Sie unseren kostenfreien Jobletter abonnieren. Mit diesem erhalten Sie alle 14 Tage die aktuellsten Stellenanzeigen und weitere Arbeitsmarkt-News.

Excel-Vorlage für Angebotsvergleich

Angebotsvergleich Excel 290px.jpg
Formelgestützte Ermittlung des "besten" Angebots durch Gegenüberstellung der Angebotskonditionen verschiedener Anbieter. Das Excel-Tool bietet einen quantitativen und einen qualitativen Angebotsvergleich, in dem zunächst der Anbieter mit dem günstigsten Bezugspreis und anschließend nach bestimmten Bewertungskriterien der "beste" Lieferant ermittelt wird.

Jetzt hier für 25,- EUR downloaden >>

Excel-Tools für Controller!

Diagramme_Charts_pm_chormail@hotmail-com_B347361660_400x300.jpg

Über 500 Vorlagen direkt zum Download. Verschaffen Sie sich einen Überblick >>

Software-Tipps

QuoVadis.jpg
Der BusinessPlanner besticht seit Jahren durch seine schnelle und professionelle Umsetzung einer integrierten Unternehmensplanung. Ein besonderer Fokus liegt auf der Integration von Planbilanz und Finanzplan / Cashflow – inklusive transparentem und aussagekräftigem Reporting.
Mehr Informationen >>

LucaNet_simply_intelligent_Logo_RGB.jpg
LucaNet.Planner deckt alle Anforderungen der integrierten Unternehmensplanung, des Reportings und der Analyse ab. Setzen Sie auf eine Software, die Ihnen mit maximaler Transparenz Arbeitsprozesse erleichtert. Mit wenigen Mausklicks passen Sie vorgefertigte Strukturen an Ihre Bedürfnisse an und importieren Ist-Zahlen über fertige Schnittstellen aus Ihrem Vorsystem.  Mehr Informationen >>

idl.png
Die IDL CPM Suite ist eine Software für die Unternehmenssteuerung mit integrierten Applikationen für Konzernkonsolidierung, Finanzplanung, operative Planung, Managementreporting, regulatorisches Berichtswesen und Analyse. Herausragende Usability, hohe Automatisierung und Fachlichkeit zeichnen sie aus. Mehr Informationen >>

Weitere Controlling-Software-Lösungen im Marktplatz >>

RS - Make or Buy Analyse

In einem Unternehmen kommt oft die Frage auf, ob man Materialien in Eigenproduktion herstellen sollte oder diese extern zukauft. Dieses Excel-Tool hilft Ihnen bei der Fragestellung auf Grundlage der Make or Buy Analyse. Die Berechnung kann nach Vollkosten- oder Grenzkostenansatz durchgeführt werden.
Mehr Informationen >>


Preiskalkulation mit Excel

Preiskalkulation einfach gemacht: dieses Excel-Tool hilft Ihnen bei der Kalkulation Ihrer Preise. Geeignet sowohl im Dienstleistungs- als auch im Industriebereich. Auch zur Preiskalkulation einzelner Projekte anwendbar. Inklusive einstufiger Deckungsbeitragsrechnung.
Mehr Informationen >>

Kundendatenbank inkl. Rechnungsprogramm

Die Excel- Kundendatenbank für bis zu 2000 Kunden ist ideal als Vertriebsdatenbank einsetzbar mit integrierten Termin-/ Wiedervorlagenmanagement zur Verwaltung, Steuerung, Planung und Reporting von Kundendaten und Vertriebsaktivitäten. Erstellen Sie ganz einfach Ihre Rechnungen für verwaltete Kunden mit Produkten aus Ihrem Katalog. 
Mehr Informationen >>

Weitere über 400 Excel-Vorlagen finden Sie hier >>

Skript Kostenrechnung

Umfassendes Skript für Studenten, Auszubildende und angehende Bilanzbuchhalter zu allen prüfungsrelevanten Themen aus der Kosten- und Leistungsrechnung als ebook im pdf-Format. Auf 163 Seiten wird alles zum Thema Kostenrechnung ausführlich und verständlich sowie mit vielen Abbildungen und Beispielen erläutert.

Themen:

- Kostentheorie
- Aufgaben und Systeme der Kostenrechnung
- Vollkostenrechnung
- Teilkostenrechnung (Deckungsbeitragsrechnung)
- Plankostenrechnung
- Kurzfristige Erfolgsrechnung
- Prozesskostenrechnung
- Kalkulation im Handel

Zusätzlich zum Skript erhalten Sie umfangreiche Klausuraufgaben und Übungsaufgaben mit Lösungen! Preis 9,90 EUR Hier bestellen >>

Excel TOP-SellerRS Liquiditätsplanung L

PantherMedia_pannawat_B100513902_400x300.jpg
Die RS Liquiditätsplanung L ist ein in Excel erstelltes Werkzeug für die Liquiditätsplanung von Kleinunternehmen sowie Freiberuflern. Die Planung erfolgt auf Basis von veränderbaren Einnahmen- und Ausgabepositionen. Detailplanungen können auf extra Tabellenblättern für z.B. einzelne Projekte oder Produkte vorgenommen werden. 
Mehr Informationen >>

Rollierende Liquiditätsplanung auf Wochenbasis

Dieses Excel-Tool bietet Ihnen die Grundlage für ein Frühwarnsystem. Der erstellte Liquiditätsplan warnt Sie vor bevorstehenden Zahlungsengpässen, so dass Sie frühzeitig individuelle Maßnahmen zur Liquiditätssicherung einleiten können. Gerade in Krisensituationen ist eine kurzfristige Aktualisierung und damit schnelle Handlungsfähigkeit überlebenswichtig. Mehr Informationen >>

Strategie-Toolbox mit verschiedenen Excel-Vorlagen

Die Strategie-Toolbox enthält 10 nützliche Excel Vorlagen, die sich erfolgreich in der Strategie bewährt haben. Alle Tools sind sofort einsatzbereit und sind ohne Blattschutz. Damit können die Vorlagen individuell angepasst werden.
Ideal für Mitarbeiter aus dem strategischen ManagementMehr Informationen>>

Weitere über 400 Excel-Vorlagen finden Sie hier >>

Software-Tipp

Liquiditätsplanung_Fimovi.jpgRollierende Liquiditätsplanung auf Wochenbasis. Mit der Excel-Vorlage „Liquiditätstool“ erstellen Sie schnell und einfach ein Bild ihrer operativen Liquiditätslage für die nächsten (bis zu 52) Wochen. Mehr Infos und Download >>